Español
Português
русский
Français
日本語
Deutsch
tiếng Việt
Italiano
Nederlands
ภาษาไทย
Polski
한국어
Svenska
magyar
Malay
বাংলা ভাষার
Dansk
Suomi
हिन्दी
Pilipino
Türkçe
Gaeilge
العربية
Indonesia
Norsk
تمل
český
ελληνικά
український
Javanese
فارسی
தமிழ்
తెలుగు
नेपाली
Burmese
български
ລາວ
Latine
Қазақша
Euskal
Azərbaycan
Slovenský jazyk
Македонски
Lietuvos
Eesti Keel
Română
Slovenski
मराठी
Srpski језик
X
Selama hampir 20 tahun, kami telah menjadi produsen paling profesional di dunia, No.1 di Cina di industri methylfolate. Dengan sistem jaminan kualitas yang ketat, kesadaran merek yang kuat dan layanan setelah penjualan tingkat tinggi, perusahaan kami terkenal dengan filosofi bisnis "hanya memproduksi dan memasok produk-produk berkualitas premium."
Untuk memastikan asupan kalsium L-5-methyltetrahydrofolate (folat aktif) tercukupi, Anda dapat melakukan langkah-langkah berikut:
Peran kalsium L-5-metiltetrahidrofolat--Magnafolat Kalsium L-5-metiltetrahidrofolat memiliki sejumlah tugas penting dalam tubuh, antara lain:
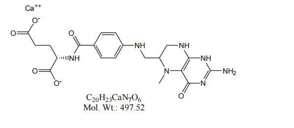
Magnafolate® adalah kristal C Kalsium L-5-metiltetrahidrofolat (L-5-MTHF Ca) unik yang dilindungi paten yang dapat memperoleh folat bioaktif paling murni dan paling stabil.
Memahami pentingnya berbagai nutrisi bagi tubuh sangat penting dalam perjalanan kita menuju hidup sehat. Kalsium L-5-metiltetrahidrofolat, sering disebut sebagai tetrahidrofolat format, adalah vitamin B yang dikenal luas sebagai salah satu komponen penting yang diperlukan untuk menjaga kesehatan tubuh. kesehatan.
Seiring dengan meningkatnya laju kehidupan modern, perhatian terhadap kesehatan dan gizi juga meningkat. Dalam proses ini, kalsium L-5-metiltetrahidrofolat (juga dikenal sebagai garam kalsium 5-MTHF) secara bertahap mendapatkan perhatian luas.
Folat adalah vitamin B yang larut dalam air yang penting untuk pertumbuhan dan reproduksi sel-sel dalam organisme kita. Ini membantu metabolisme protein dan bekerja dengan vitamin B12 untuk meningkatkan produksi dan pematangan sel darah merah.
Hak Cipta © 2021 Lianyungang Jinkang Hexin Pharmaceutical Co., Ltd. Semua Hak Dilindungi Undang-undang jinkang-kimia
Online Service